沈阳分站
智虹微钢
手机找货
板材分站 型材分站 管材分站 优特钢站 不锈钢站  |  沈阳分站 鞍山分站 长春分站 哈尔滨站 天津分站 河南分站 山东分站
各地区价格行情
沈阳市 | 大连市 | 鞍山市 | 长春市 | 哈尔滨市 | 天津市 | 郑州市 | 安阳市 | 舞钢市 | 唐山市 | 北京市 | 上海市
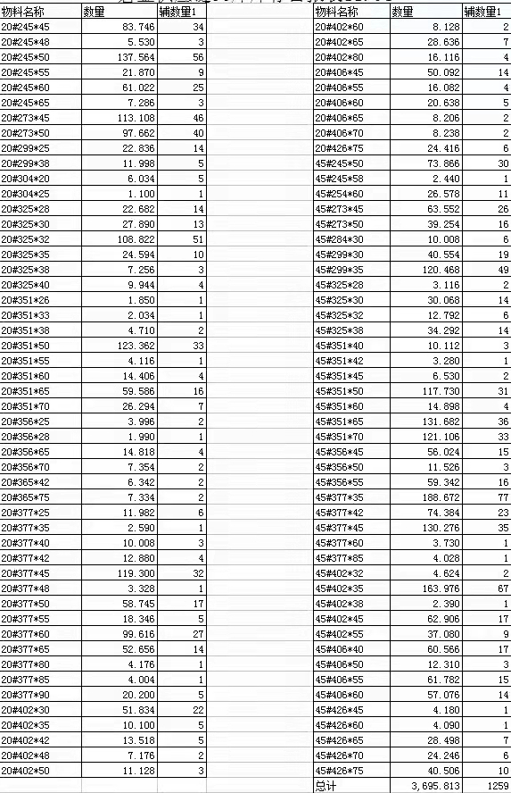
供:热轧非标无缝管,45#非标无缝钢管,20#非标无缝管
来源: 智虹大东北钢铁网 www.zhsq.cn 2021-11-24 11:06:43

非标碳钢无缝钢管,非标合金钢无缝管——山东开安管业
非标钢管一般常用的材质有:20#、45#、16Mn(Q345A、B、C、D、E)27siMn、20cr、40cr、
在非标钢管的生产中,有的是以国标无缝钢管或者圆钢作为管坯生产的,因为销量小,往往价格要高于普通国标无缝钢管,但是非标无缝钢管也有弊端,因为没有固定的标准要求,有的生产商使用二级无缝钢管废无缝管或者次品作为管坯,那样价格就便宜多了。所以非标无缝钢管往往价格不稳定,产品质量也层次不齐。




联系电话:0635-8880628
手机:15275837798
联系人:夏增怀
发布单位:山东开安管业有限公司         
未经大东北钢铁网同意,不得转载本网站之所有信息及作品
市场行情价格变化较快,本网站提供信息谨供参考.
  钢企推荐
沈阳无缝管(www.xydwfgg.com)
沈阳新远达无缝钢管、锅炉管(13002458123)
沈阳焊管(www.gdwsm.com)
沈阳广帝旺钢材(销售热线:024-31838939 15804070576)
沈阳角钢经销(www.sywgjm.com)
沈阳万冠经贸有限公司(电话:13804029666)
不锈钢现货网(www.yaobxg.com)
不锈钢板 不锈钢棒 不锈钢管 不锈钢加工
不锈钢棒(www.sysbxg.com)
金盈利不锈钢有限公司(18698871178)
沈阳钢板网(www.sydwlwz.com)
沈阳德威隆物资有限公司(联系人:姜丹18640582381)
沈阳不锈钢板(www.dbbxg.cn)
主营:太钢、宝钢、酒钢、联众钢厂产不锈钢薄、中、厚板材等产品(电话:024-88098899)
沈阳H型钢(www.sysqlxc.com)
沈阳万盛经贸有限公司(电话:13804029666)
沈阳镀锌板(www.dbgcxh.com)
东北钢材现货网
泉之源水箱(www.qzysx022.com)
不锈钢水箱厂家(电话:18504410699/4001-868-688)不锈钢保温水箱
沈阳不锈钢板(www.xxgdbxg.com)鑫鑫广达
不锈钢板 不锈钢棒 不锈钢管 不锈钢加工(电话:13840256680)
不锈钢管(www.xjhbxg.com)
辽宁泰朗精密不锈钢管业有限公司(联系电话:13904033317)
泉之源水箱(www.sybxgsxc.com)
不锈钢水箱厂家(电话:15140052012/15802400899)不锈钢保温水箱
H型钢(www.syhxg.com)
沈阳申鸿贸易有限公司(电话:024-31339790,18640142585)
沈阳祥和怡轩管业(www.dblxg.com)
专营各种规格螺旋钢管(联系电话:13940082110)
沈阳方管(www.sysfg.com)
广帝旺钢材商贸中心(电话:024-31838939,15804070576)
温州不锈钢管生产厂家(www.dfqxgy.com)
东方齐心钢业(辽宁)有限公司(联系人:15158533456)
沈阳中厚壁无缝管(www.xhfwfg.com)
沈阳欣华发物资有限公司(联系人:卢艳华13898857757 王生发13066616458)
黑龙江工槽角批发(www.dbgzg.com)
吉祥天物资(电话:13504977268 024-31834997)
不锈钢管(www.hebyth.com)
哈尔滨顺鑫水处理有限公司(电话:15945995341)
沈阳槽钢经销(www.brindustrials.com)
沈阳海杰达钢材(电话:13604034929)
沈阳42CrMoA(www.hjgsy.com)
沈阳市久盛祥商贸有限公司(电话:024-25318110,13066681193)
黑龙江化粪池厂家(www.hebhfc.com)
黑龙江化粪池厂家顺鑫企业(赵经理:13945051782)
螺旋管经销(www.syfxwfg.com)
富翔钢管有限公司(电话:13504048687,13386845777)常年备有大量现货。
钢材现货(www.jtwz.com)
专业钢材经销
昌隆源工贸中心(www.syclygt.com)
国标角钢、槽钢、工字钢(电话:15998135999)
哈尔滨水处理(www.hebscl.com)
哈尔滨水处理有限公司(电话:15945995341)
今日最新现货资源企业    >>更多
舞钢市恒沃钢铁贸易有限公司
现货供应:耐磨板| 优碳板|低合金板.
10小时前 已更新资源483条
郑州银发电力石化材料有限公司
现货供应:舞钢产特宽特厚钢板|15C.
13小时前 已更新资源155条
河南敬冶重工有限公司
现货供应:锅炉容器板Q245R Q3.
17小时前 已更新资源302条
舞钢市盛隆物资有限公司
现货供应:中低温锅炉容器板|中厚板|.
17小时前 已更新资源21条
沧州鑫众森钢管有限公司
现货供应:焊管|直缝管|流体管|厚壁.
18小时前 已更新资源1598条
舞钢市金聚鑫钢铁销售有限公司
现货供应:锅炉容器板|耐磨板|高强度.
18小时前 已更新资源4483条
只要您更新现货资源,
您立即就可以出现在这里!
>>现在更新资源

行情
每日行情
· 1月19日沈阳方管价格行情 [1-19]
· 1月19日沈阳镀锌管价格行. [1-19]
· 1月19日沈阳焊管价格行情 [1-19]
· 1月19日沈阳市场花纹板卷. [1-19]
· 1月19日沈阳无缝管价格行. [1-19]
· 1月19沈阳市场镀锌板卷价. [1-19]
· 1月19日沈阳市场冷轧板卷. [1-19]
· 1月19日沈阳市场中厚板价. [1-19]
· 1月19日沈阳H型钢市场价. [1-19]
· 1月19日沈阳工槽角市场价. [1-19]
>>更多



进销存软件开发 │ 网站制作 │ 智虹服务 │ 《智虹钢铁周刊》电子版 │ 《钢材产业链》 │ 联系我们
沈阳智虹鑫广告有限公司主办  许可证编号:辽ICP备14018320号
业务咨询:024-22511693 22511099 业务恰谈:024-22522323 技术支持:QQ:76004474 E-mail:ddbgtw@163.com